数学之翼最新版 版本:v3.2.5 安卓版
5.0分
- 本游戏:官方版安全无广告需网络
- 标签: 数学之翼 学习软件 计算器软件
- 更新时间:2025-12-15 11:17:27
数学之翼让用户能轻松开展各类数学运算与符号计算。这款软件不仅可助力你迅速解决复杂数学难题,还能绘制几何图形和曲线。另外,它支持音频与文字注释,并且能把你的工作保存成文件或公开课形式。

数学之翼介绍
数学之翼,一般又称数学天堂。
数学之翼是灵树科技公司完全自主研发的全球领先免费高端通用数学计算工具,它充分利用移动设备的优势,全面覆盖数学领域的数值计算与符号计算功能,大幅拓宽了计算工具的应用范围,凭借简单易上手的操作和强劲的计算性能,深受广大用户的青睐与赞誉。
数学之翼功能
按数学传统定义格式计算输入输出;
实数和复数的科学计算;
变量的赋值、查询、代入计算;
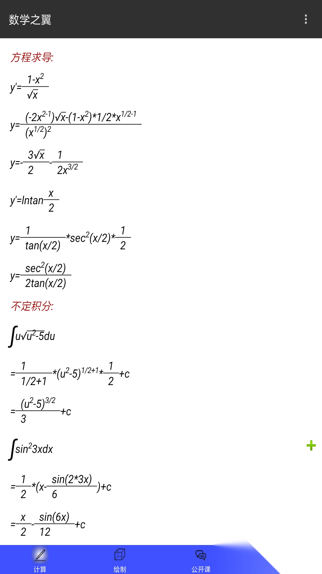
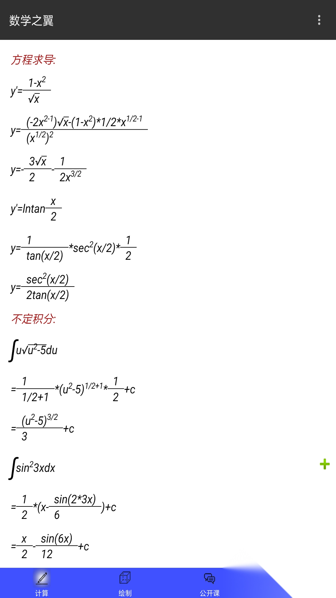
方程式的符号计算;
任意方程式求解;
高等代数中的极限计算、导数求解、定积分计算,以及微分方程和不定积分方程的求解。
线性代数的行列式求值,矩阵计算;
在直角坐标与极坐标体系中,运用多种形式的参数方程来完成二维及三维曲线的绘制工作。
平面几何、立体几何图形的触控绘制和命令行绘制;
常用几何体及其变体的定义、绘制方法,还有长度、面积、体积的计算与求值内容。
坐标系内几何体的平移、旋转操作;
完善的数制单位转换功能;
融合高级语言功能,实现变量类型自动化;
支持常量、变量、序列变量、数组、坐标等各类数值类型的定义与计算操作。
实现计算、绘制、音频内容的日志存储与调用,同时具备截屏功能。
公开课说出你的观点,把知识传授给更多的人。
数学之翼优势
【图形绘制】
数学天堂对坐标空间实施一体化整合,能够在该空间内完成二维与三维函数曲线及几何图形的绘制工作。其中,函数曲线兼容直角坐标和极坐标两种绘制方式;几何图形则提供标准模型绘制、手动自由绘制以及命令行模式这几种选择。此外,坐标空间与编辑模式之间支持随时无缝切换。
【手势操作】
优化的屏幕手势操作,搭配针对不同输入场景的自定义键盘人性化设计,让各类屏幕操作与公式输入更为便捷高效。
【数据库】
数学天堂了一个功能强大的支持数据库,里面收录了数学领域的定理、定义、推论以及丰富的题例,无论是基础的加减乘除运算知识,还是高等代数的专业内容,都能通过关键词搜索快速获取。

数学之翼亮点
融合高级语言功能,实现变量类型自动化;
能够对常量、变量、序列变量、数组、坐标等数值类型进行定义与计算;
实现计算、绘制、音频内容的日志保存与调用,同时具备截屏功能。
公开课借助音频、文字、图形、公式等多种形式,将知识传递给更广泛的人群。
详细信息
- 文件大小:14.9MB
- 当前版本:版本:v3.2.5 安卓版
- 上线时间:2025-12-15 11:17:27





















































